Back To Home
(සිංහල) භාෂාවෙන් බලන්න





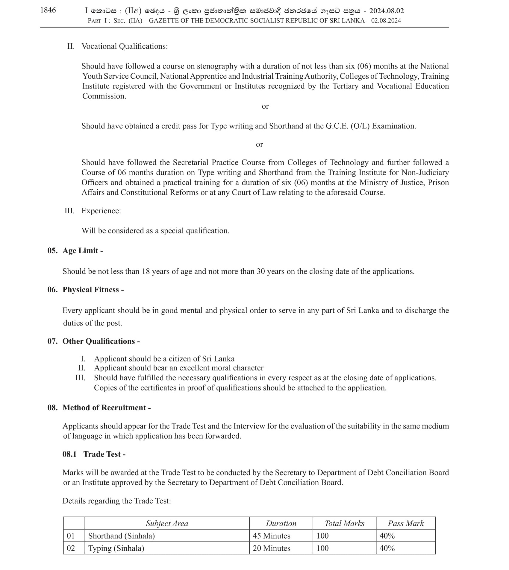
Stenographer (Sinhala) - Ministry of Justice, Prison Affairs & Constitutional Reforms




